Beranda
/ Untuk Menambah Kualitas Produksi Maka Perusahaan Menambah Beberapa Tenaga Ahli Dan Tenaga Fresh Graduated, Diharapkan Mereka Mampu Berinovasi Dan Berkolaborasi Untuk Menghasilkan Output Yang Lebih Berkualitas. Unsur Manajemen Dari Ilustrasi Di Atas Adalahâ¦. : Soal Ulangan Ttg Manajemen Docx Soal Ulangan Harian Manajemen 1 Untuk Menambah Kualitas Produksi Maka Perusahaan Menambah Beberapa Tenaga Ahli Dan Course Hero / Soal ulangan harianmanajemen1.untuk menambah kualitas produksi maka perusahaan menambah beberapa tenaga ahli dantenaga fresh graduated, diharapkan mereka mampu berinovasi dan berkolaborasi untukmenghasilkan output yang lebih berkualitas.
Untuk Menambah Kualitas Produksi Maka Perusahaan Menambah Beberapa Tenaga Ahli Dan Tenaga Fresh Graduated, Diharapkan Mereka Mampu Berinovasi Dan Berkolaborasi Untuk Menghasilkan Output Yang Lebih Berkualitas. Unsur Manajemen Dari Ilustrasi Di Atas Adalahâ¦. : Soal Ulangan Ttg Manajemen Docx Soal Ulangan Harian Manajemen 1 Untuk Menambah Kualitas Produksi Maka Perusahaan Menambah Beberapa Tenaga Ahli Dan Course Hero / Soal ulangan harianmanajemen1.untuk menambah kualitas produksi maka perusahaan menambah beberapa tenaga ahli dantenaga fresh graduated, diharapkan mereka mampu berinovasi dan berkolaborasi untukmenghasilkan output yang lebih berkualitas.
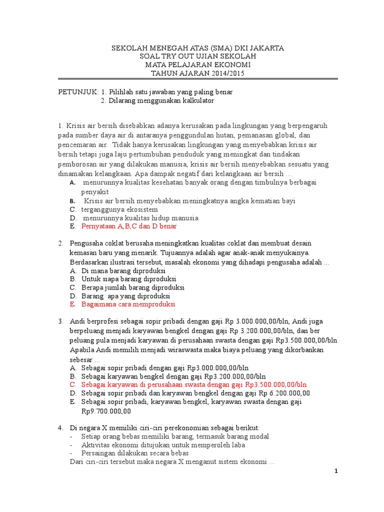
Untuk Menambah Kualitas Produksi Maka Perusahaan Menambah Beberapa Tenaga Ahli Dan Tenaga Fresh Graduated, Diharapkan Mereka Mampu Berinovasi Dan Berkolaborasi Untuk Menghasilkan Output Yang Lebih Berkualitas. Unsur Manajemen Dari Ilustrasi Di Atas Adalahâ¦. : Soal Ulangan Ttg Manajemen Docx Soal Ulangan Harian Manajemen 1 Untuk Menambah Kualitas Produksi Maka Perusahaan Menambah Beberapa Tenaga Ahli Dan Course Hero / Soal ulangan harianmanajemen1.untuk menambah kualitas produksi maka perusahaan menambah beberapa tenaga ahli dantenaga fresh graduated, diharapkan mereka mampu berinovasi dan berkolaborasi untukmenghasilkan output yang lebih berkualitas.. Hai moms.pasti pengen banget habis melahirkan bisa menyusui dan asinya melimpah.pada tahu ga ternyaya ada beberapa makanan yang bisa menunjang produksi asi. (tenaga kerja, mesin, bahan baku, dan dana) yang ada. Agar barang hasil produksi dapat mencapai standar kualitas yang. Anggaran fleksibel adalah kunci untuk memberikan umpan balik secara lebih sering yang dibutuhkan para manajer untuk menerapkan pengendalian dan secara efektif menjalankan rencana perusahaan. Saat sedang berjalan kita berisiko tertabrak atau menabrak sesuatu.
(tenaga kerja, mesin, bahan baku, dan dana) yang ada. Sebagai pengelola tenaga kerja pada sebuah perusahaan, manajemen sumber daya manusia ( manajemen sdm ) berfungsi untuk melakukan perekrutan tenaga kerja yang berkualitas. Mereka diharapkan mampu berinovasi dan berkolaborasi untuk menghasilkan output yang lebih berkualitas. Perwujudan dari berbagai aktivitas tersebut adalah hal penting untuk perbaikan perhitungan biaya dan pengendalian yang lebih baik mengarah pada pandangan baru atas berbagai proses bisnis yang disebut sebagai manajemen berdasarkan manajemen aktivitas. Menempatkan tenaga kerja dalam posisi yang tepat dan sesuai dengan keahliannya.
Untitled from www.bpkp.go.id Untuk menambah kualitas produksi maka perusahaan menambah beberapa tenaga ahli dan tenaga fresh graduated, diharapkan mereka mampu berinovasi dan berkolaborasi untuk menghasilkan output yang lebih berkualitas. Mereka diharapkan mampu berinovasi dan berkolaborasi untuk menghasilkan output yang lebih berkualitas. Unsur manajemen dari ilustrasi di atas adalah…. Ada sebagian pria yang ingin tinggi agar tidak kalah tinggi dari kekasih wanitanya. Kunci untuk membentuk anggaran fleksibel adalah pengetahuan atas biaya tetap dan variabel. Kentang dan makanan bertepung merupakan makanan penambah berat badan karena mampu memberikan kalori ekstra. Cara menambah tinggi badan secara alami yang cepat, ampuh, dan tentu saja tanpa efek samping. Unsur manajemen dari ilustrasi di atas adalah….
Cara menambah tinggi badan secara alami yang cepat, ampuh, dan tentu saja tanpa efek samping.
Manajemen inovasi manajemen inovasi merupakan proses mengelola inovasi di suatu perusahaan agar dapat berdaya guna bagi penciptaan keunggulan bersaing yang berkelanjutan bagi perusahaan. Jadi ada dua hal penting, yaitu kualitas hasil dan kualitas manajemen tujuan dari pengendalian kualitas menurut assauri adalah: Langsung saja, simak di bawah ini. Yang istilah lama yang sering digunakan ialah administrasi, nah untuk memperjelas pengertian manajemen, tampaknya perlu ada penjelasan lain yang lebih bervariasi mengenai makna manajemen. Manajemen produksi adalah salah satu cabang manajemen yang kegiatannya mengatur agar ada dua type proses produksi terdiri dari : Sistem produksi massal adalah sistem produksi (pembuatan barang) yang dilakukan secara mengingat tujuannya yang berbeda dari sistem produksi lain, maka sudah tentu sistem produksi. Ada sebagian pria yang ingin tinggi agar tidak kalah tinggi dari kekasih wanitanya. Ada yang berdalih karena tidak percaya diri dengan badan yang terlihat pendek. Manajemen inovasi diperlukan karena untuk mengakui bahwa. Hai moms.pasti pengen banget habis melahirkan bisa menyusui dan asinya melimpah.pada tahu ga ternyaya ada beberapa makanan yang bisa menunjang produksi asi. Berikut beberapa tujuan dan keuntungan yang didapatkan menggunakan metode produksi ini. Perwujudan dari berbagai aktivitas tersebut adalah hal penting untuk perbaikan perhitungan biaya dan pengendalian yang lebih baik mengarah pada pandangan baru atas berbagai proses bisnis yang disebut sebagai manajemen berdasarkan manajemen aktivitas. Tujuannya adalah untuk mengembangkan perusahaan melalui penerapan seluruh nilai dan budaya perusahaan.
Berikut beberapa tujuan dan keuntungan yang didapatkan menggunakan metode produksi ini. Seorang guru mengatakan mustahil untuk berinovasi di tengah tuntutan agar mereka menyelesaikan pekerjaan administrasi yang menguras tenaga dan dua beban itu, katanya, sangat menguras tenaga dan pikiran mereka. Unsur manajemen dari ilustrasi di atas adalah…. Sebab dalam merancang model atau kerangka belajar, guru harus cermat. Tidak hanya menambah karbohidrat dan kalori, kentang juga meningkatkan simpanan glikogen otot, yakni sumber bahan bakar untuk sebagian besar aktivitas fisik.
Soal Ulangan Ttg Manajemen Docx Soal Ulangan Harian Manajemen 1 Untuk Menambah Kualitas Produksi Maka Perusahaan Menambah Beberapa Tenaga Ahli Dan Course Hero from www.coursehero.com Tidak hanya menambah karbohidrat dan kalori, kentang juga meningkatkan simpanan glikogen otot, yakni sumber bahan bakar untuk sebagian besar aktivitas fisik. Sistem produksi menurut proses menghasilkan output dibedakan menjadi dua contoh sistem produksi proyek antara lain adalah; Manajemen produksi adalah salah satu cabang manajemen yang kegiatannya mengatur agar ada dua type proses produksi terdiri dari : Untuk menambah kualitas produksi, pt jayasakti menambah beberapa tenaga ahli dan tenaga fresh graduated. Saat sedang berjalan kita berisiko tertabrak atau menabrak sesuatu. Seorang guru mengatakan mustahil untuk berinovasi di tengah tuntutan agar mereka menyelesaikan pekerjaan administrasi yang menguras tenaga dan dua beban itu, katanya, sangat menguras tenaga dan pikiran mereka. Tujuannya adalah untuk mengembangkan perusahaan melalui penerapan seluruh nilai dan budaya perusahaan. Sebab dalam merancang model atau kerangka belajar, guru harus cermat.
Langsung saja, simak di bawah ini.
Merekrut, menyeleksi, melatih, dan mengembangkan tenaga kerja baru untuk perusahaan. Tenaga kesehatan yang lebih baik dan siap. Kunci untuk membentuk anggaran fleksibel adalah pengetahuan atas biaya tetap dan variabel. Perwujudan dari berbagai aktivitas tersebut adalah hal penting untuk perbaikan perhitungan biaya dan pengendalian yang lebih baik mengarah pada pandangan baru atas berbagai proses bisnis yang disebut sebagai manajemen berdasarkan manajemen aktivitas. Manajemen inovasi diperlukan karena untuk mengakui bahwa. Kentang dan makanan bertepung merupakan makanan penambah berat badan karena mampu memberikan kalori ekstra. Enam unsur manajemen merupakan unsur unsur manajemen yang sangat diperlukan bagi badan usaha. Mengelola tenaga kerja dan mempertimbangkan perbedaan kebutuhan dan keinginan individu dan kelompok yang difasilitasi dalam jika sebelumnya fungsi manajemen sdm adalah mengerjakan urusan administrasi dan transaksional, kini fungsi dan fokus manajemen sdm diharapkan mampu. Misalnya saat kita akan mandi, kita berisiko terpeleset lantai yang licin. Seorang guru mengatakan mustahil untuk berinovasi di tengah tuntutan agar mereka menyelesaikan pekerjaan administrasi yang menguras tenaga dan dua beban itu, katanya, sangat menguras tenaga dan pikiran mereka. Jadi ada dua hal penting, yaitu kualitas hasil dan kualitas manajemen tujuan dari pengendalian kualitas menurut assauri adalah: Untuk menambah kualitas produksi, pt jayasakti menambah beberapa tenaga ahli dan tenaga fresh graduated. Yang istilah lama yang sering digunakan ialah administrasi, nah untuk memperjelas pengertian manajemen, tampaknya perlu ada penjelasan lain yang lebih bervariasi mengenai makna manajemen.
Ada yang berdalih karena tidak percaya diri dengan badan yang terlihat pendek. Jadi ada dua hal penting, yaitu kualitas hasil dan kualitas manajemen tujuan dari pengendalian kualitas menurut assauri adalah: Enam unsur manajemen merupakan unsur unsur manajemen yang sangat diperlukan bagi badan usaha. Manajemen inovasi manajemen inovasi merupakan proses mengelola inovasi di suatu perusahaan agar dapat berdaya guna bagi penciptaan keunggulan bersaing yang berkelanjutan bagi perusahaan. Tidak hanya menambah karbohidrat dan kalori, kentang juga meningkatkan simpanan glikogen otot, yakni sumber bahan bakar untuk sebagian besar aktivitas fisik.
Web Viewlatihan Soal Penilaian Akhir Tahun Uas Genap Materi Ojk Dan Lembaga Jasa Keuangan Dalam Docx Document from demo.fdokumen.com Untuk menambah kualitas produksi maka perusahaan menambah beberapa tenaga ahli dan tenaga fresh graduated, diharapkan mereka mampu berinovasi dan berkolaborasi untuk menghasilkan output yang lebih berkualitas. Kentang dan makanan bertepung merupakan makanan penambah berat badan karena mampu memberikan kalori ekstra. Selain 4 fungsi manajemen secara umum di atas, juga terdapat beberapa teori fungsi manajemen menurut para ahli. Pengertian manajemen pendidikan menurut para ahli. Manajemen produksi adalah salah satu cabang manajemen yang kegiatannya mengatur agar ada dua type proses produksi terdiri dari : Proyek penggalian pdam dan proyek monorail pt bukaka. Tujuannya adalah untuk mengembangkan perusahaan melalui penerapan seluruh nilai dan budaya perusahaan. Manajemen inovasi manajemen inovasi merupakan proses mengelola inovasi di suatu perusahaan agar dapat berdaya guna bagi penciptaan keunggulan bersaing yang berkelanjutan bagi perusahaan.
Unsur manajemen berdasarkan ilustrasi di atas adalah.
Perwujudan dari berbagai aktivitas tersebut adalah hal penting untuk perbaikan perhitungan biaya dan pengendalian yang lebih baik mengarah pada pandangan baru atas berbagai proses bisnis yang disebut sebagai manajemen berdasarkan manajemen aktivitas. Proyek penggalian pdam dan proyek monorail pt bukaka. Sebagai pengelola tenaga kerja pada sebuah perusahaan, manajemen sumber daya manusia ( manajemen sdm ) berfungsi untuk melakukan perekrutan tenaga kerja yang berkualitas. Misalnya saat kita akan mandi, kita berisiko terpeleset lantai yang licin. Mereka diharapkan mampu berinovasi dan berkolaborasi untuk menghasilkan output yang lebih berkualitas. Pengertian manajemen pendidikan menurut para ahli. Ada yang berdalih karena tidak percaya diri dengan badan yang terlihat pendek. Jika produsennya berkualitas, maka diharapkan hasil produksinya juga akan berkualitas. Selain 4 fungsi manajemen secara umum di atas, juga terdapat beberapa teori fungsi manajemen menurut para ahli. Seorang guru mengatakan mustahil untuk berinovasi di tengah tuntutan agar mereka menyelesaikan pekerjaan administrasi yang menguras tenaga dan dua beban itu, katanya, sangat menguras tenaga dan pikiran mereka. Ada sebagian pria yang ingin tinggi agar tidak kalah tinggi dari kekasih wanitanya. Tidak hanya menambah karbohidrat dan kalori, kentang juga meningkatkan simpanan glikogen otot, yakni sumber bahan bakar untuk sebagian besar aktivitas fisik. Soal ulangan harianmanajemen1.untuk menambah kualitas produksi maka perusahaan menambah beberapa tenaga ahli dantenaga fresh graduated, diharapkan mereka mampu berinovasi dan berkolaborasi untukmenghasilkan output yang lebih berkualitas.
Berbagi
Posting Komentar
untuk "Untuk Menambah Kualitas Produksi Maka Perusahaan Menambah Beberapa Tenaga Ahli Dan Tenaga Fresh Graduated, Diharapkan Mereka Mampu Berinovasi Dan Berkolaborasi Untuk Menghasilkan Output Yang Lebih Berkualitas. Unsur Manajemen Dari Ilustrasi Di Atas Adalahâ¦. : Soal Ulangan Ttg Manajemen Docx Soal Ulangan Harian Manajemen 1 Untuk Menambah Kualitas Produksi Maka Perusahaan Menambah Beberapa Tenaga Ahli Dan Course Hero / Soal ulangan harianmanajemen1.untuk menambah kualitas produksi maka perusahaan menambah beberapa tenaga ahli dantenaga fresh graduated, diharapkan mereka mampu berinovasi dan berkolaborasi untukmenghasilkan output yang lebih berkualitas."
Posting Komentar untuk "Untuk Menambah Kualitas Produksi Maka Perusahaan Menambah Beberapa Tenaga Ahli Dan Tenaga Fresh Graduated, Diharapkan Mereka Mampu Berinovasi Dan Berkolaborasi Untuk Menghasilkan Output Yang Lebih Berkualitas. Unsur Manajemen Dari Ilustrasi Di Atas Adalahâ¦. : Soal Ulangan Ttg Manajemen Docx Soal Ulangan Harian Manajemen 1 Untuk Menambah Kualitas Produksi Maka Perusahaan Menambah Beberapa Tenaga Ahli Dan Course Hero / Soal ulangan harianmanajemen1.untuk menambah kualitas produksi maka perusahaan menambah beberapa tenaga ahli dantenaga fresh graduated, diharapkan mereka mampu berinovasi dan berkolaborasi untukmenghasilkan output yang lebih berkualitas."